一、化學錨栓概述
化學錨栓由金屬螺桿和錨固膠組成,通過錨固膠形成錨固作用的錨栓。化學錨栓分為普通化學錨栓和特殊倒錐形化學錨栓。化學錨栓用于在已建成的混凝土結構上安裝其他結構的連接件,用于各種鋼結構、幕墻、大理石干掛、設備及管道固定等施工中的后加埋件安裝,也可用于設備安裝,公路、橋梁護欄安裝,建筑物加固改造等場合。
二、化學錨栓選用
《混凝土結構加固設計規范》(GB 50367-2013 )16.1.4條、16.1.5條規定,在抗震設防區的結構中,以及直接承受動力荷載的構件中,不得使用膨脹螺栓作為承重結構的連接件。在抗震設防區承重結構中使用錨栓時,應采用后擴底錨栓或特殊倒錐形膠黏型錨栓,且僅允許用于設防烈度不高于8度,或當8度時建于I、II類場地的建筑物。
同時,不得考慮非開裂混凝土對其承載力的提高作用。《混凝土結構后錨固技術規程》(JGJ 145-2013)4.1.1 錨栓應按照錨栓性能、基材性狀、錨固連接的受力性質、被連接結構類型、抗震設防等要求選用。錨栓用于結構構件連接時的適用范圍應符合表4.1.1-1的規定:
表4.1.1-1 錨栓用于結構構件連接時的適用范圍

4.1.2 金屬錨栓應采取和使用環境類別相適應的防腐措施。碳素鋼、合金鋼機械錨栓表面應進行鍍鋅防腐處理,電鍍鋅層平均厚度不應小于5μm,熱浸鍍鋅平均厚度不應小于45μm。在室外環境、常年潮濕的室內環境、海邊、高酸堿度的大氣環境中應使用不銹鋼材質的錨栓,含氯離子的環境中應使用高抗腐不銹鋼。不同環境條件下適用的錨栓材質類別可按表4.1.2選用。
表4.1.2 不同環境條件下適用的錨栓材質類別

三、混凝土基材要求
《混凝土結構后錨固技術規程》(JGJ 145-2013)3.1.1 錨栓錨固基材可為鋼筋混凝土、預應力混凝土或素混凝土構件。3.1.2 凍融受損混凝土、腐蝕受損混凝土、嚴重裂損混凝土、不密實混凝土等,不應作為錨固基材。3.1.3 基材混凝土強度等級不應低于C20,且不得高于C60;安全等級為一級的后錨固連接,其基材混凝土強度等級不應低于C30。3.3.10 采用化學錨栓的混凝土結構,其錨固區基材的長期使用溫度不應高于50度。
四、化學錨栓設計計算
化學錨栓受拉承載力應按錨栓鋼材破壞、混合破壞、混凝土錐體受拉破壞、劈裂破等4種破壞類型,及單錨與群錨兩種錨固連接方式,共計8種情況分別進行計算。對于單錨連接,外力與抗力比較明確,計算較為簡單。對于群錨連接,情況較為復雜:當為鋼材破壞時,破壞主要出現在某些受力最大錨栓,因此,一般只計算受力最大(Nhsd)錨栓即可;當為混合破壞、混凝土錐體破壞或劈裂破壞時,主要表現為群錨基材整體破壞,故取Ngsd進行整體錨固計算。后錨固連接破壞應控制為錨栓鋼材受拉破壞或連接構件延性破壞。
下面以某儲罐與基礎的連接為例進行設計計算:
工程概況:某六度區化工儲罐,工作溫度不超過35度,與本部分預埋件對應的主體結構采用混凝土強度等級為C30。選用8.8級倒錐形特殊膠粘型M30,hef=680mm。荷載條件:設備專業提單個螺栓承受最大拉力為70KN,不承擔彎矩和剪力。形式如下:

1、單個錨栓拉力設計值計算
由《混凝土結構后錨固技術規程》(JGJ 145-2013)
5.2.1 軸心拉力作用下,群錨各錨栓所承受的拉力設計值應按下式計算:
Nsd=k1N/n (5.2.1)
2、受拉承載力計算
(1)計算NRd,s:
《混凝土結構后錨固技術規程》(JGJ 145-2013)
6.1.2 機械錨栓鋼材破壞受拉承載力設計值NRd,s應按下列公式計算:
NRd,s=NRk,s/γRs,N (6.1.2-1)
NRk,s=?ykAs (6.1.2-2)
式中:NRk,s——機械錨栓鋼材破壞受拉承載力標準值(N);
γRs,N——機械錨栓鋼材破壞受拉承載力分項系數,按本規程表4.3.10 采用;
As ——機械錨栓應力截面面積(mm2);
?yk——機械錨栓屈服強度標準值(N/mm2)。


γRs,N取值1.3,8.8級錨栓?yk取值640 N/mm2
NRk,s=?ykAs =640*561=359KN
NRd,s=NRk,s/γRs,N=359/1.3=276KN
(2)計算NRd,c:
《混凝土結構后錨固技術規程》(JGJ 145-2013)
6.1.3 混凝土錐體破壞受拉承載力設計值NRd,c應按下列公式計算:

式中:NRk,c——混凝土錐體破壞受拉承載力標準值(N)。
N0Rk,c——單根錨栓受拉時,混凝土理想錐體破壞受拉承載力標準值(N)。
γRc,N——混凝土錐體破壞受拉承載力分項系數,按本規程表4.3.10采 用。
?cu,k——混凝土立方體抗壓強度標準值(N/mm2)。當?cu,k不小于45N/mm2且 不大于60N/mm2時,應乘以降低系數0.95。
hef——錨栓有效錨固深度(mm)。對于膨脹型錨栓及擴底型錨栓,為膨脹錐體與孔壁最大擠壓點的深度。
A0c,N——單根錨栓受拉且無間距、邊距影響時,混凝土理想錐體破壞投影面面積(mm2),按本規程第6.1.4條的規定計算。
Ac,N——單根錨栓或群錨受拉時,混凝土實際錐體破壞投影面面積(mm2),按本規程第6.1.5條的規定計算。
ψs,N——邊距c對受拉承載力的影響系數,按本規程第6.1.6條的規定計算。
ψre,N——表層混凝土因密集配筋的剝離作用對受拉承載力的影響系數,按本規程第6.1.7條的規定計算。
ψec,N——荷載偏心eN對受拉承載力的影響系數,按本規程第6.1.8條的規定計算。
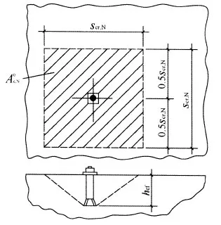
6.1.4 單根錨栓受拉時,混凝土理想錐體破壞投影面面積A0c,N(圖6.1.4)應按下式計算:
A0c,N=s2cr,N (6.1.4)
式中:scr,N——混凝土錐體破壞且無間距效應和邊緣效應情況下,每根錨栓達到受拉承載力標準值的臨界間距(mm),應取為3hef。

6.1.5 單根錨栓或群錨受拉時,混凝土實際錐體破壞投影面面積Ac,N,應根據錨栓排列布置情況的不同,分別按下列公式計算:
1 單根錨栓,靠近構件邊緣布置,且c1不大于ccr,N時(圖6.1.5-1)
Ac,N=(c1+0.5scr,N)ssr,N (6.1.5-1)
式中:c1——方向1的邊距(mm);
c2——方向2的邊距(mm);
s1——方向1的間距(mm);
s2——向2的間距(mm);
ccr,N——混凝土錐體破壞且無間距效應及邊緣效應情況下,每根錨栓達到受拉承載力標準值的臨界邊距(mm),應取為1.5hef。
6.1.6 邊距c對受拉承載力的影響系數ψs,N應按下式計算。當ψs,N的計算值大于1.0時,應取1.0。

式中:c——邊距(mm),有多個邊距時應取最小值。
6.1.7 表層混凝土因密集配筋的剝離作用對受拉承載力的影響系數ψre,N應按下式計算。當ψre,N的計算值大于1.0時,應取1.0;當錨固區鋼筋間距s不小于150mm時,或鋼筋直徑d不大于10mm且s不小于100mm時,ψre,N應取1.0。

6.1.8 荷載偏心對受拉承載力的影響系數ψec,N應按下式計算。當ψec,N的計算值大于1.0時,應取1.0;當為雙向偏心時,應分別按兩個方向計算,ψec,N應取ψ(ec,N)1·ψ(ec,N)2。

式中:eN——受拉錨栓合力點相對于群錨受拉錨栓重心的偏心距(mm)。
(3)計算NRd,sp:
由于選用特殊倒錐形化學錨栓,適用于開裂混凝土的錨栓,且按照開裂混凝土計算承載力,所以可不考慮荷載條件下的劈裂破壞。
3、抗震承載力驗算
《混凝土結構后錨固技術規程》(JGJ 145-2013)
8.2.2 后錨固連接控制為錨栓鋼材受拉延性破壞時,應滿足下列要求:
1 單個錨栓

4、承載力驗算:
《混凝土結構后錨固技術規程》(JGJ 145-2013)
4.3.5 后錨固連接承載力應采用下列設計表達式進行驗算:
無地震作用組合:γ0S≤Rd (4.3.5-1)
有地震作用組合:γ0S≤kRd/γRE (4.3.5-2)
Rd=Rk/γR (4.3.5-3)
無地震作用組合:
γ0S=1.2*77=92.4KN≤NRd,s=276kKN≤NRD,c=377KN
有地震作用組合:
γ0S=1.0*77=77KN≤0.8*NRd,s=0.8*276=220kKN≤0.8*NRD,c=0.8*377=301KN
滿足要求。
5、倒錐形化學錨栓通用設計說明: